# 索引深入解析
作者:Ethan.Yang
博客:https://blog.ethanyang.cn (opens new window)
# 索引是什么?
在数据库中,**索引(Index)**相当于书籍的目录,它可以加快我们查找数据的速度。实际应用中,索引对查询性能的提升可以达到几十倍甚至上百倍。
举例说明
select * from user where name='张三'
如果 name 字段没有加索引,那么 InnoDB 会进行全表扫描,逐行比较,性能极低。
如果 name 字段加了索引,InnoDB 会根据 B+ 树索引结构快速定位目标行,无需扫描整个表,查询效率显著提升。

底层本质:磁盘结构
数据库的数据是以页(Page)为单位存储在磁盘文件中的,每一行数据在磁盘中都有一个地址(Row ID 或主键 ID)。 有了索引后,MySQL 会先从索引树中找到对应主键,然后再根据主键到表中定位数据行,避免全表扫描。
# InnoDB 索引类型
InnoDB 中支持多种索引,常见的有:
| 索引类型 | 描述 |
|---|---|
| 普通索引(Normal) | 最基本的索引类型,对字段无唯一性要求。 |
| 唯一索引(Unique) | 要求索引列的值必须唯一。主键也是一种唯一索引,但不允许为 NULL。 |
| 全文索引(Fulltext) | 用于对大文本字段(如文章内容、评论等)进行高效全文搜索,适合替代 LIKE '%关键字%' 的低效查询。InnoDB 从 MySQL 5.6 开始支持全文索引。 |
# 索引存储类型推演
索引还有一种Hash结构, 用的较少, 主要讲解B+树, Hash一般不支持顺序的范围查找
# 从二分查找开始:静态数组查找
结构:
- 一个升序数组,通过 二分法进行查找。
优点:
- 查找效率高:时间复杂度 O(log n)。
缺点:
- 插入/删除代价大:时间复杂度 O(n),因为需要移动数组元素。
- 静态结构:不适合频繁增删操作。
- 只能全量加载进内存,不适合磁盘管理的大数据量场景。
# 二叉查找树(Binary Search Tree, BST)
结构:
- 每个节点最多有两个子节点。
- 左子树 < 根节点 < 右子树。
优点:
- 插入、删除、查找:平均 O(log n)。
- 动态结构,适合频繁变更数据。
缺点:
- 极端情况下(如插入升序序列)会退化成链表,性能降为 O(n)。
- 不平衡问题严重,必须引入自平衡机制。
# 红黑树(Red-Black Tree):内存平衡查找结构
结构:
- 一种自平衡的二叉查找树,通过红黑节点颜色规则,保证近似平衡。
优点:
- 查找、插入、删除都是 O(log n)。
- 保证树的最长路径不超过最短路径的两倍,避免性能恶化。
- 广泛用于内存结构:如 Java 的 TreeMap、C++ STL 的 map。
缺点(对比 B+ 树):
| 特性 | 红黑树 | B+ 树 |
|---|---|---|
| 节点分布 | 节点少,树高 | 节点多,树矮 |
| 数据位置 | 所有节点都有 data | 只有叶子节点存 data |
| 顺序遍历 | 中序遍历效率低 | 叶子节点链表,范围查询高效 |
| 扇出能力 | 2 分支 | 上百分支 |
| IO 次数 | 高 | 低,极大减少磁盘 IO |
| 磁盘友好 | ❌ | ✅ 非常友好,天然磁盘设计 |
🔍 总结:红黑树适合内存结构,但在磁盘中查找数据,访问节点意味着一次磁盘 IO,所以红黑树会频繁地做磁盘 IO,效率不高。
# B 树(Balanced Tree)
结构:
- 多路查找树,每个节点可有多个 key 和多个子树。
- 所有叶子节点深度相同(平衡)。
- 节点中包含 key 和 data。
优点:
- 每个节点对应一个磁盘页(通常 4K),一次磁盘 IO 可以加载多个 key。
- 由于扇出(每层分支数)大,树的高度低,减少了 IO 次数。
缺点:
- 每个节点都存储 data,导致中间节点比较重,扇出降低。
- 范围查询效率不高:必须中序遍历树。
# B+ 树:MySQL 的核心选择
结构:
- B 树的升级版。
- 所有实际数据只存储在叶子节点,中间节点只存 key。
- 所有叶子节点通过指针组成链表,形成一个有序的数据层。
B+ 树优点(也是 MySQL 使用它的原因):
| 特性 | 优势说明 |
|---|---|
| 磁盘 IO 少 | 扇出大(每页能存更多 key),树更矮。磁盘读取层数更少。 |
| 范围查询高效 | 所有 data 在叶子,叶子节点链表结构,一次扫描即可。 |
| 内存/磁盘友好 | 中间节点不带 data,结构稳定,支持高并发查询。 |
| 查找效率稳定 | 所有查找都在叶子节点结束,查询路径固定,有助于预测和优化缓存。 |
# 举个例子(对比红黑树 vs B+ 树)
假设:
- 每个节点一个磁盘页为 4KB。
- key 为 8B,指针为 8B。
B+ 树一个节点能容纳的 key 数:
一个节点 ≈ 4KB = 4096B
一个 key + pointer = 8 + 8 = 16B
4096 / 16 ≈ 256 个 key
2
3
即:每层最多分成 256 个分支,高度极低:
- 256^1 = 256 条记录
- 256^2 = 65,536 条记录
- 256^3 = 16,777,216 条记录(只需 3 层)
- 256^4 = 4,294,967,296(40 亿+记录,仅需 4 次磁盘 IO)
而红黑树每次查找最多访问 log₂(n) 个节点:
- 40 亿数据需要大约 log₂(4e9) ≈ 32 次 IO,性能远逊于 B+ 树。
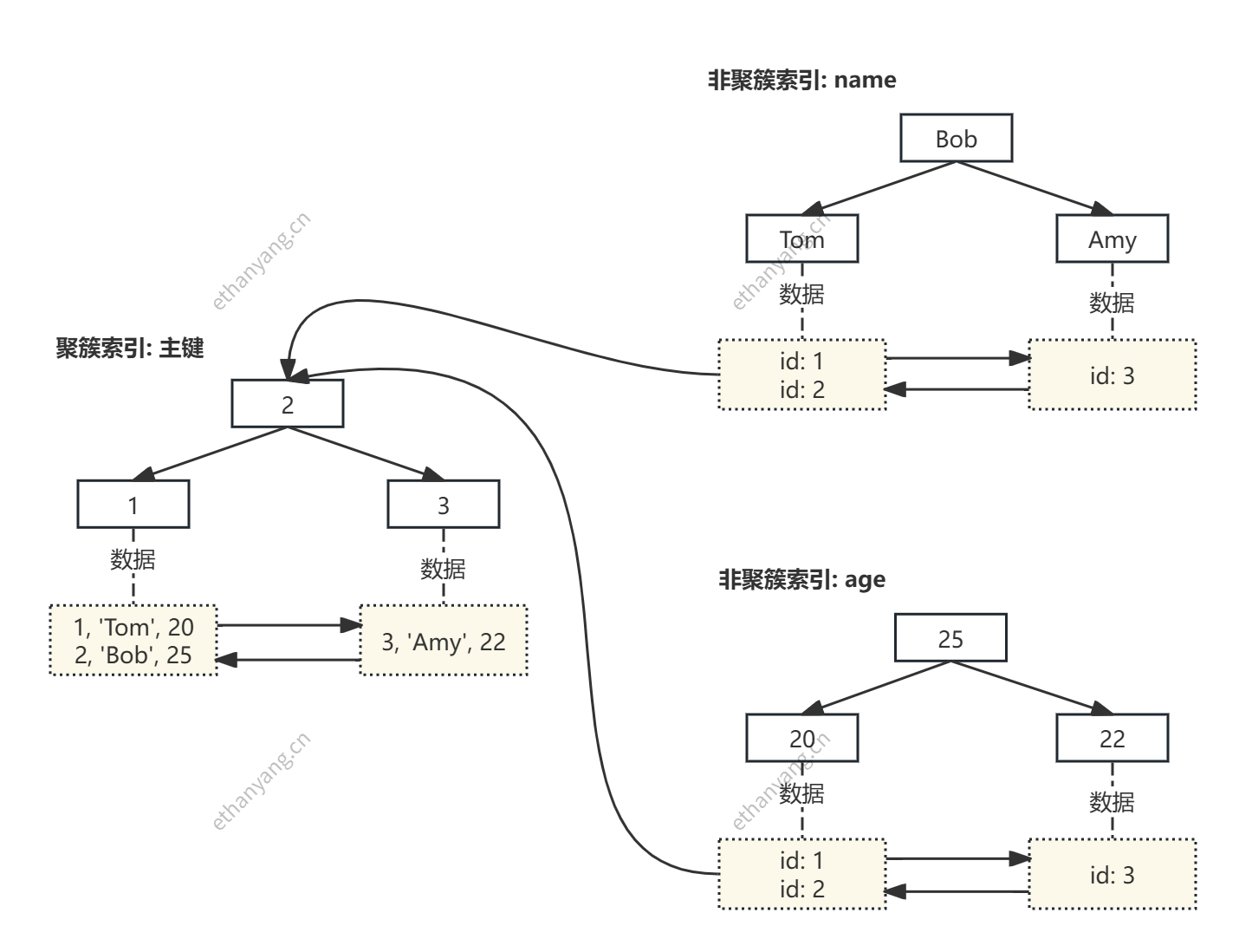
# InnoDB 中 B+Tree 的具体实现
在 InnoDB 存储引擎中:
- 每个索引都会对应一棵 B+ 树。
- 数据表中默认存在一个 主键索引(聚簇索引),即一级索引。
- 每创建一个非主键的普通索引,都会额外创建一棵 二级索引(辅助索引),即二级 B+ 树。
# 一级索引(主键索引)与二级索引的区别:
| 项目 | 一级索引(主键) | 二级索引(普通索引) |
|---|---|---|
| B+ 树结构 | 一棵B+树 | 每个索引一棵独立的B+树 |
| 叶子节点存储 | 整行数据 | 主键值 |
| 是否回表 | ❌ 不需要 | ✅ 需要回表(除非覆盖索引) |
# 为什么叶子节点存的是主键值而不是行地址?
- InnoDB 不存储物理地址,而是统一通过 主键索引树(聚簇索引)来定位数据行。
- 避免地址变化、提升一致性,方便事务和 MVCC 管理。
无论表中有没有显示索引, 表都是一个B+树结构, 会有默认索引, 而全表扫描本质上是对B+树叶子节点从左到右的扫描, 比如name是非索引字段, 但是where上有name, 那么就会根据默认的B+树叶子节点挨个扫描, 再逐个判断name字段和where上的是否一致
# 举一个例子
CREATE TABLE user (
id BIGINT PRIMARY KEY, -- 主键索引(聚簇索引)
name VARCHAR(100), -- 普通字段
age INT,
INDEX idx_name(name), -- 二级索引
INDEX idx_age(age) -- 二级索引
);
INSERT INTO user (id, name, age) VALUES (1, 'Tom', 20);
INSERT INTO user (id, name, age) VALUES (2, 'Bob', 25);
INSERT INTO user (id, name, age) VALUES (3, 'Amy', 22);
-- 假设叶子节点每页容量为2条记录
-- 字符串大小比较使用InnoDB内部算法进行排序
2
3
4
5
6
7
8
9
10
11
12
13
14
15

按主键查询(聚簇索引)
select * from test where id = 21直接访问聚簇索引,无需回表
查询流程:
从根节点
[2]导航到叶子节点叶子节点存
[1, Tom, 20]和[2, Bob, 25]通过叶子节点顺序查找或双向链表找到 id=2
最终返回记录:
2, 'Bob', 25按照age / name 索引查询
按二级索引查询
SELECT * FROM user WHERE name = 'Tom';1查询流程:
- 在二级索引
idx_name中查找Tom→ 得到主键 id=1 - 使用 id=1 回表访问聚簇索引
- 在聚簇索引叶子节点找到完整记录
[1, 'Tom', 20]
- 在二级索引
最终返回记录:
1, 'Tom', 20
# MySQL InnoDB 索引的使用最佳实践
主键索引设计 主键叶子节点存储完整数据,应选用稳定、递增的字段(如自增 ID)避免页分裂。
根据查询频率建立索引 WHERE、JOIN、ORDER BY、GROUP BY 中频繁出现的字段适合建索引,提升查询性能。
使用覆盖索引避免回表 查询字段全在索引中,无需回表,查询更快。
# 对 (name, age) 建联合索引: SELECT name, age FROM user WHERE name = 'Tom';1
2对长字符串使用前缀索引 长字符串字段如邮箱、URL,用前 N 位建索引,节省空间。
CREATE TABLE user ( id INT PRIMARY KEY, email VARCHAR(255), ... ); # 只给前10位建立索引 CREATE INDEX idx_email_prefix ON user(email(10));1
2
3
4
5
6
7合理使用联合索引 多字段建联合索引时,查询条件需从最左列开始,否则索引失效。
选择高基数字段建索引 唯一值越多,过滤能力越强。避免单独索引性别、状态等低基数字段。 以性别为例, 就算走了性别的索引, 1000w条中还是会有500w条是男或者女, 还是要扫描500w次
避免函数/表达式影响索引使用 避免在索引列上使用函数、表达式或计算(如
WHERE YEAR(date) = 2023或age + 1 = 30),否则索引失效。尽量写成直接条件(如date BETWEEN '2023-01-01' AND '2023-12-31',age = 29)。LIKE查询注意使用方式
LIKE 'abc%'可以使用索引,LIKE '%abc'无法利用索引,因为前缀模糊匹配无法排序访问。
# MySQL索引失效的常见场景
函数或表达式包裹索引列 如果在索引列上使用了函数,如
UPPER(name) = 'BOB'或DATE(create_time) = '2024-01-01',MySQL无法利用索引。隐式类型转换导致失效 比如索引列是字符串类型,但查询条件用了数字,MySQL会做隐式转换,导致索引失效。
不等于操作符
WHERE col <> 1或WHERE col != 1这类操作不会使用索引,通常会触发全表扫描。OR 条件未命中索引
WHERE col1 = 1 OR col2 = 2,如果这两个条件没有都使用索引,可能导致索引失效。范围查询后不能使用索引列 对联合索引来说,如果使用了范围条件(如
>、<、BETWEEN)后,联合索引后续的列就无法利用索引。
例如联合索引是 (a, b, c),条件是 WHERE a > 1 AND b = 2,索引只能用到 a,b 列索引失效。
前缀模糊查询失效
LIKE '%abc'因为以通配符开头,无法利用索引。索引列允许 NULL 查询 部分情况下用
IS NULL或IS NOT NULL可能导致索引失效,尤其是在老版本 MySQL 中。过多索引导致维护成本高 虽然不是“失效”,但过多索引会导致写入(INSERT/UPDATE/DELETE)时维护索引开销过大,影响性能。